Appendix. Solution of system (20)

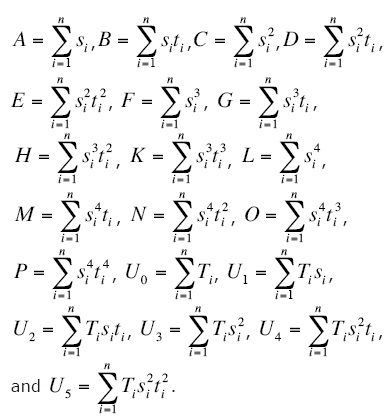
Let's define:

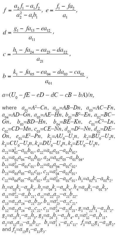
Then, from the first six equations of system (20), one can derive the formulas for unknown parameters:

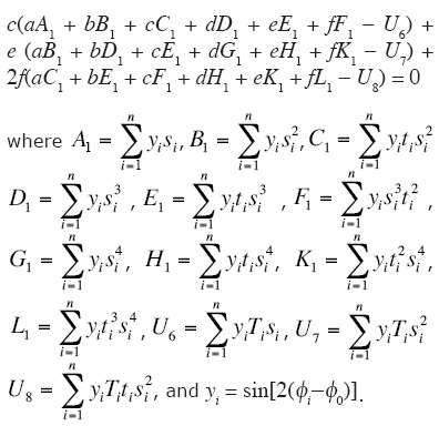
The seventh equation of system (20) takes a form: