Appendix 4

From the free body diagram (Figure 9) and under equilibrium conditions for the CVT input wheel, where Tx represents the torque in element x,

where,

From figure 1,

From the planetary gear set,

For the CVT,

Solving for r1 from Equation g and Equation h,

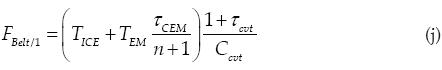
Equation 1 is obtained solving for FBELT/1 from equations a, b, c, d, e, f and i:

Equations 2, 3 and 4 are obtained by combining the Willis equation for a planetary gear set and the dynamic relationships among the sun and the ring by the CVT and the simple train.

