APPENDIX
Derivation of equation [12]
From the ratio of imports to exports in [11]:

Differentiating this equation:

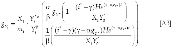
Since: gY = (1/γ)dY/dt and gy* is (1/T)(dY*/dt), [A.2] becomes:

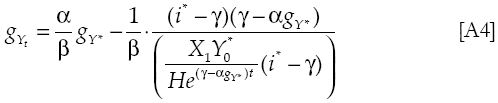
Substituting γtβ from [A.1] and rearranging:

Which is equation [12] in the text.