Apéndice I

Matrices de estrato

 

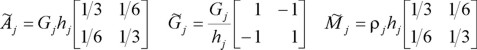
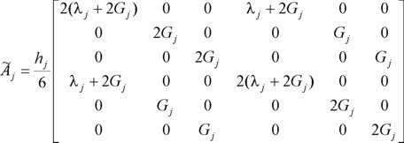
Suponiendo interpolación lineal de desplazamientos, las matrices de estrato para elementos planos y axisimétricos son las siguientes:

Elementos planos en deformación plana

Elementos planos en cortante antiplano

Elementos axisimétricos