Apéndice. Momentos L muestrales
Son un sistema alternativo para describir las formas de las FDP. Los momentos L son combinaciones lineales de los momentos de probabilidad pesada desarrollados por Greenwood et al. (1979), de manera que (Hosking y Wallis, 1997):

Además, se definen los cocientes (τ) de momentos L, comenzando con L-Cv, que es análogo a este coeficiente, y después los de similitud con los coeficientes de asimetría y de curtosis, que son:

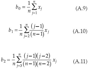
En una muestra de tamaño n, con sus elementos arreglados en orden ascendente (x1 < x2 < ... < xn), los estimadores insesgados de βr son:

con la expresión general siguiente:

Los estimadores muestrales de λr serán lr, estando definidos por las ecuaciones (A.1) a (A.5), y los de los cocientes serán t, t3 y t4, según las ecuaciones (A.6) a (A.8).